Решака - онлайн ответы Алгебра Макарычев, Миндюк за 9 класс Дидактические материалы ФГОС 2015 - 12
Решебник
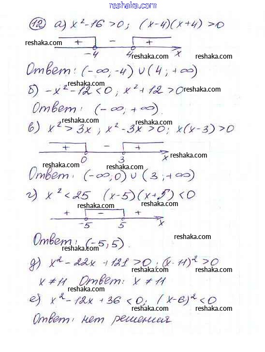
повторение / уравнения и неравенства с одной переменной / 12

Представляем вам сборники по Алгебре, с готовыми ответами к Дидактическим материалам Макарычев школьной программы для учеников девятый класса. Это не просто гдз с ответом, а с подсказками, как верно решить Уравнения и неравенства с одной переменной Итоговое повторение по темам 12. Проверяй домашку с умом и получай высший балл!