Лого сайта Reshaka.com

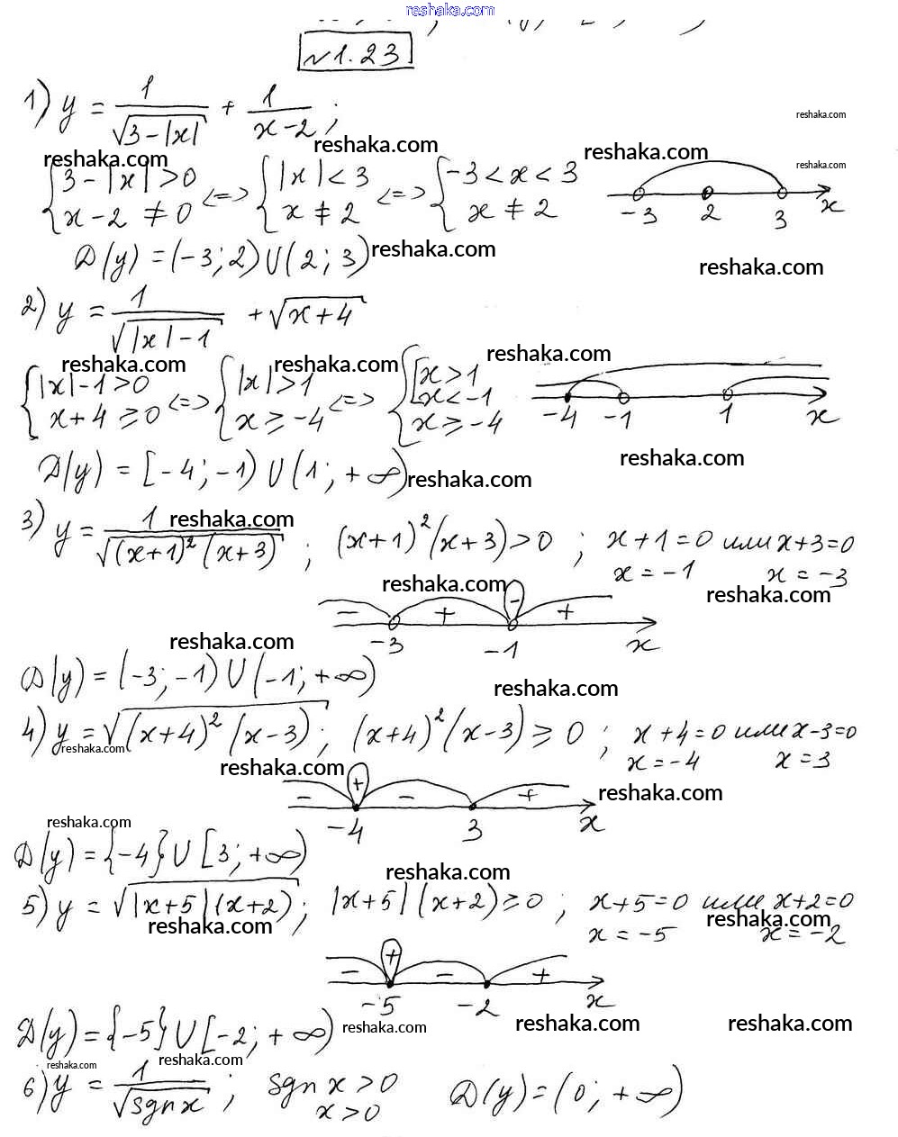
Решака - онлайн ответы Алгебра Мерзляк, Поляков за 9 класс Учебник Углубленный уровень ФГОС 2020 - 1.23

Представляем вам сборники по Алгебре, с готовыми ответами к Учебнику Мерзляк школьной программы для учеников девятый класса. Это не просто гдз с ответом, а с подсказками, как верно решить §1 1.23. Проверяй домашку с умом и получай высший балл!