Лого сайта Reshaka.com

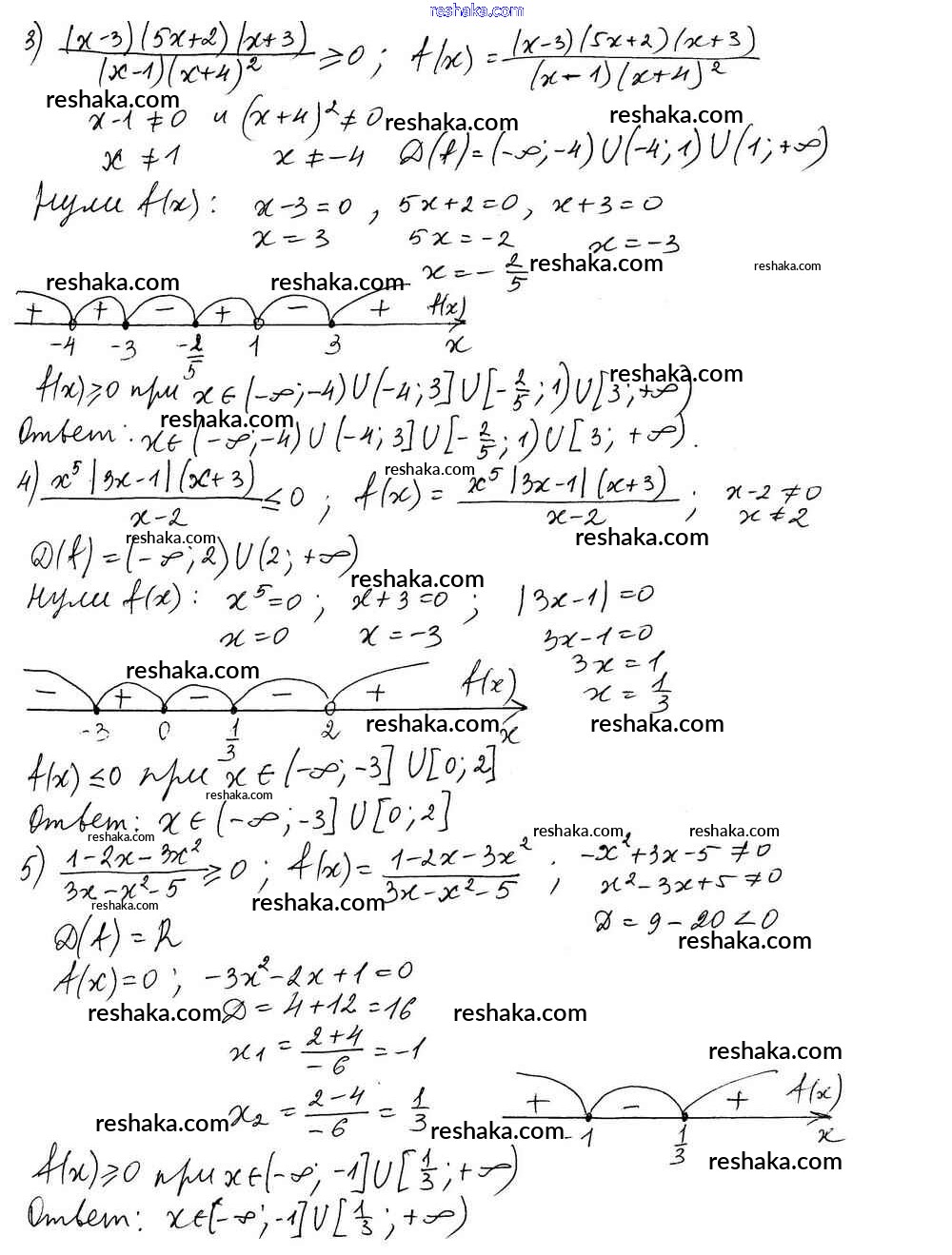
Решака - онлайн ответы Алгебра Мерзляк, Поляков за 9 класс Учебник Углубленный уровень ФГОС 2020 - 9.11

Представляем вам сборники по Алгебре, с готовыми ответами к Учебнику Мерзляк школьной программы для учеников девятый класса. Это не просто гдз с ответом, а с подсказками, как верно решить §9 9.11. Проверяй домашку с умом и получай высший балл!