Лого сайта Reshaka.com

Решака - онлайн ответы Алгебра Мерзляк, Полонский за 9 класс Дидактические материалы ФГОС 2017 - 35

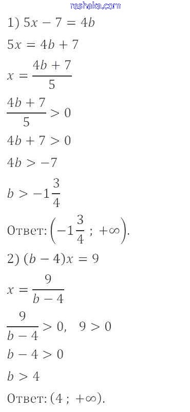
Представляем вам сборники по Алгебре, с готовыми ответами к Дидактическим материалам Мерзляк школьной программы для учеников девятый класса. Это не просто гдз с ответом, а с подсказками, как верно решить Вариант 1 35. Проверяй домашку с умом и получай высший балл!