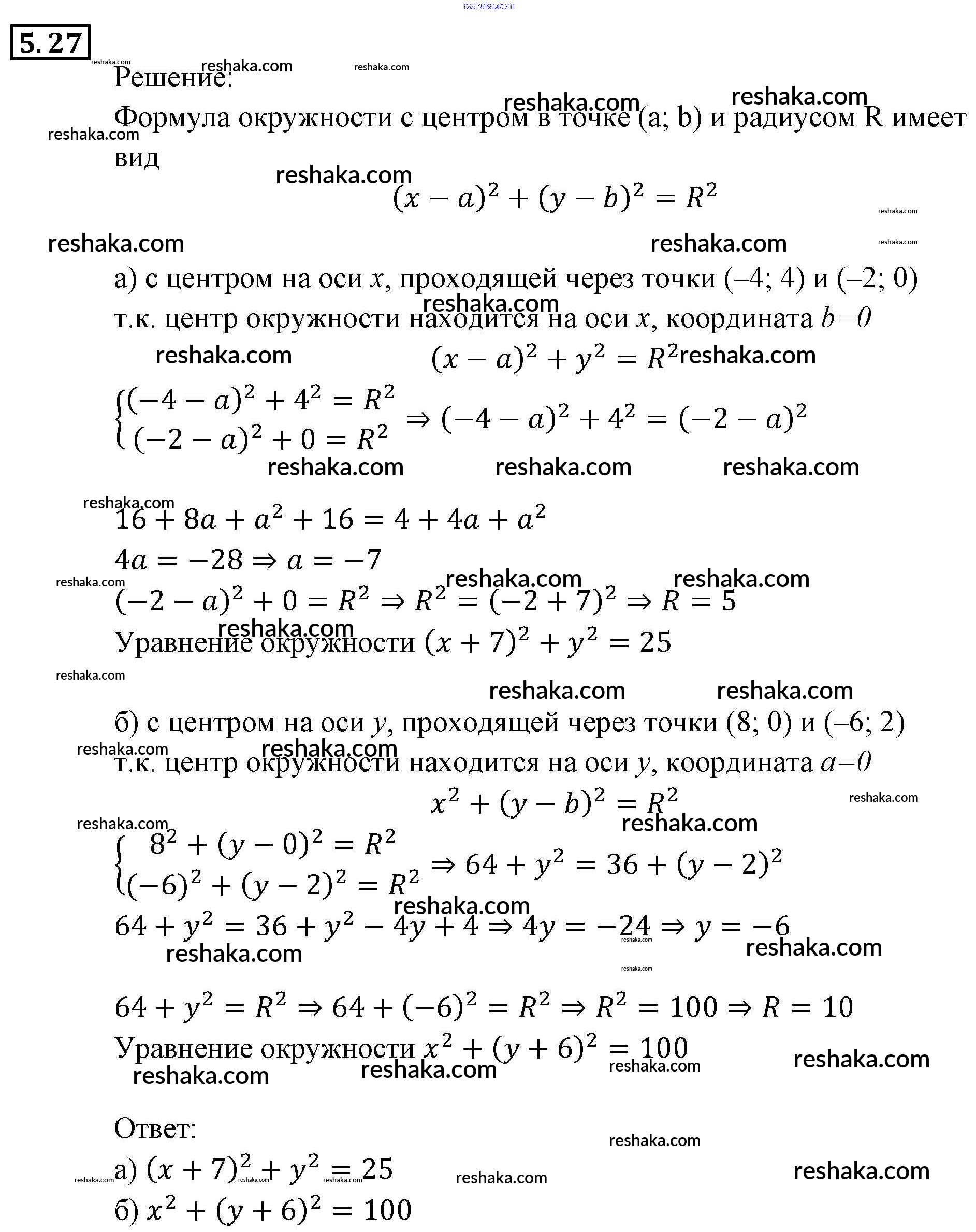
Решака - онлайн ответы Алгебра Мордкович, Александрова за 9 класс Задачник ФГОС 2010 - 27
Решебник №1
глава 2 / § 5 / 27

Решебник №2
глава 2 / § 5 / 27

Представляем вам сборники по Алгебре, с готовыми ответами к Задачнику Мордкович школьной программы для учеников девятый класса. Это не просто гдз с ответом, а с подсказками, как верно решить § 5. Основные понятия Глава 2. Системы уравнений 27. Проверяй домашку с умом и получай высший балл!