Решака - онлайн ответы Алгебра Мордкович, Александрова за 9 класс Задачник ФГОС 2010 - 28
Решебник №1
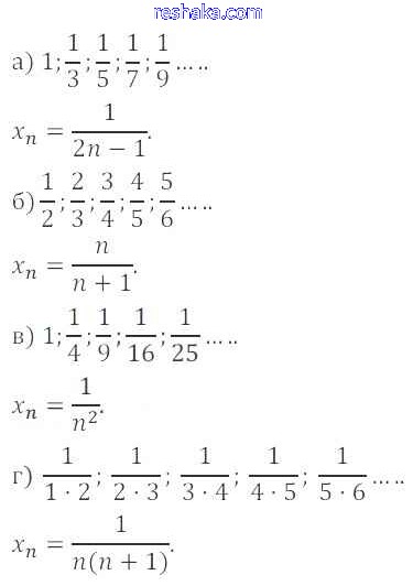
глава 4 / § 15 / 28

Решебник №2
глава 4 / § 15 / 28

Представляем вам сборники по Алгебре, с готовыми ответами к Задачнику Мордкович школьной программы для учеников девятый класса. Это не просто гдз с ответом, а с подсказками, как верно решить § 15. Числовые последовательности Глава 4. Прогрессии 28. Проверяй домашку с умом и получай высший балл!