Решака - онлайн ответы Алгебра Мордкович, Александрова за 9 класс Задачник ФГОС 2010 - 54
Решебник №1
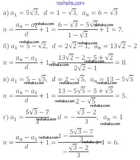
глава 4 / § 16 / 54

Решебник №2
глава 4 / § 16 / 54

Представляем вам сборники по Алгебре, с готовыми ответами к Задачнику Мордкович школьной программы для учеников девятый класса. Это не просто гдз с ответом, а с подсказками, как верно решить § 16. Арифметическая прогрессия Глава 4. Прогрессии 54. Проверяй домашку с умом и получай высший балл!