Решака - онлайн ответы Алгебра Мордкович, Александрова за 9 класс Задачник ФГОС 2010 - 40
Решебник №1
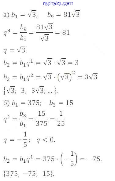
глава 4 / § 17 / 40

Решебник №2
глава 4 / § 17 / 40

Представляем вам сборники по Алгебре, с готовыми ответами к Задачнику Мордкович школьной программы для учеников девятый класса. Это не просто гдз с ответом, а с подсказками, как верно решить § 17. Геометрическая прогрессия Глава 4. Прогрессии 40. Проверяй домашку с умом и получай высший балл!