Решака - онлайн ответы Алгебра Мордкович, Александрова за 9 класс Задачник ФГОС 2010 - 7
Решебник №1
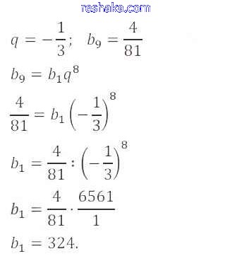
глава 4 / КР №4 / вариант 2 / 7

Решебник №2
глава 4 / КР №4 / вариант 2 / 7

Представляем вам сборники по Алгебре, с готовыми ответами к Задачнику Мордкович школьной программы для учеников девятый класса. Это не просто гдз с ответом, а с подсказками, как верно решить Вариант 2 Контрольная работа №4 7. Проверяй домашку с умом и получай высший балл!