Решака - онлайн ответы Алгебра Мордкович, Александрова за 9 класс Задачник ФГОС 2010 - 17
Решебник №1
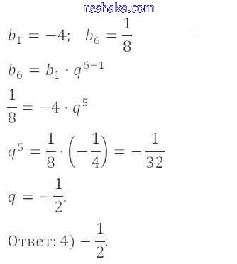
повторение / арифметическая и геометрическая прогрессии / 17

Решебник №2
повторение / арифметическая и геометрическая прогрессии / 17

Представляем вам сборники по Алгебре, с готовыми ответами к Задачнику Мордкович школьной программы для учеников девятый класса. Это не просто гдз с ответом, а с подсказками, как верно решить Арифметическая и геометрическая прогрессии Итоговое повторение 17. Проверяй домашку с умом и получай высший балл!