Лого сайта Reshaka.com

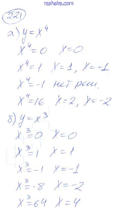
Решака - онлайн ответы Алгебра Никольский, Потапов за 9 класс Учебник ФГОС 2014 - 221

Представляем вам сборники по Алгебре, с готовыми ответами к Учебнику Никольский школьной программы для учеников девятый класса. Это не просто гдз с ответом, а с подсказками, как верно решить Упражнения 221. Проверяй домашку с умом и получай высший балл!