Решака - онлайн ответы Алгебра Журавлев, Малышева за 9 класс Контрольные и самостоятельные работы ФГОС 2016 - Вариант №3
Решебник
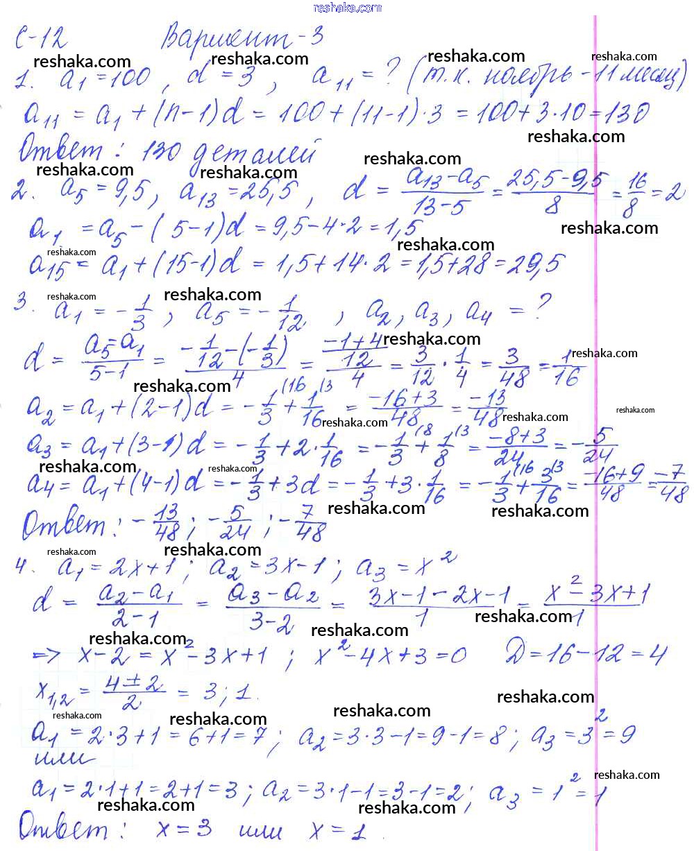
самостоятельная работа / с-12 / вариант №3

Представляем вам сборники по Алгебре, с готовыми ответами к Контрольным и самостоятельным работам Журавлев школьной программы для учеников девятый класса. Это не просто гдз с ответом, а с подсказками, как верно решить С-12. Арифметическая прогрессия Самостоятельные работы Вариант №3. Проверяй домашку с умом и получай высший балл!