Решака - онлайн ответы Алгебра Журавлев, Малышева за 9 класс Контрольные и самостоятельные работы ФГОС 2016 - Вариант №1
Решебник
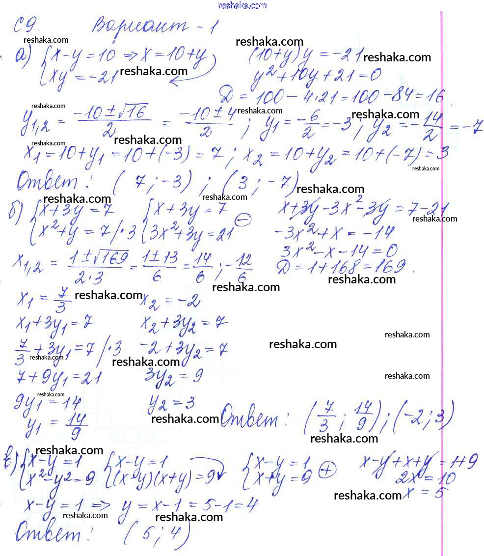
самостоятельная работа / с-9 / вариант №1

Представляем вам сборники по Алгебре, с готовыми ответами к Контрольным и самостоятельным работам Журавлев школьной программы для учеников девятый класса. Это не просто гдз с ответом, а с подсказками, как верно решить С-9. Решение систем уравнений второй степени Самостоятельные работы Вариант №1. Проверяй домашку с умом и получай высший балл!