Решака - онлайн ответы Алгебра Звавич, Дьяконова за 9 класс Дидактические материалы ФГОС 2017 - вариант 2
Решебник
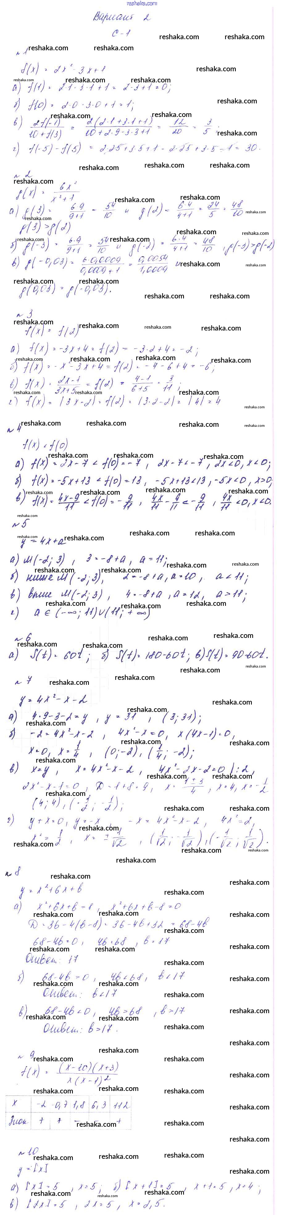
самостоятельная работа / ср-1 / вариант 2

Представляем вам сборники по Алгебре, с готовыми ответами к Дидактическим материалам Звавич школьной программы для учеников девятый класса. Это не просто гдз с ответом, а с подсказками, как верно решить СР-1 Самостоятельные работы вариант 2. Проверяй домашку с умом и получай высший балл!