Лого сайта Reshaka.com

Решака - онлайн ответы Английский язык Биболетова, Трубанева за 8 класс Учебник ФГОС 2015 - 109

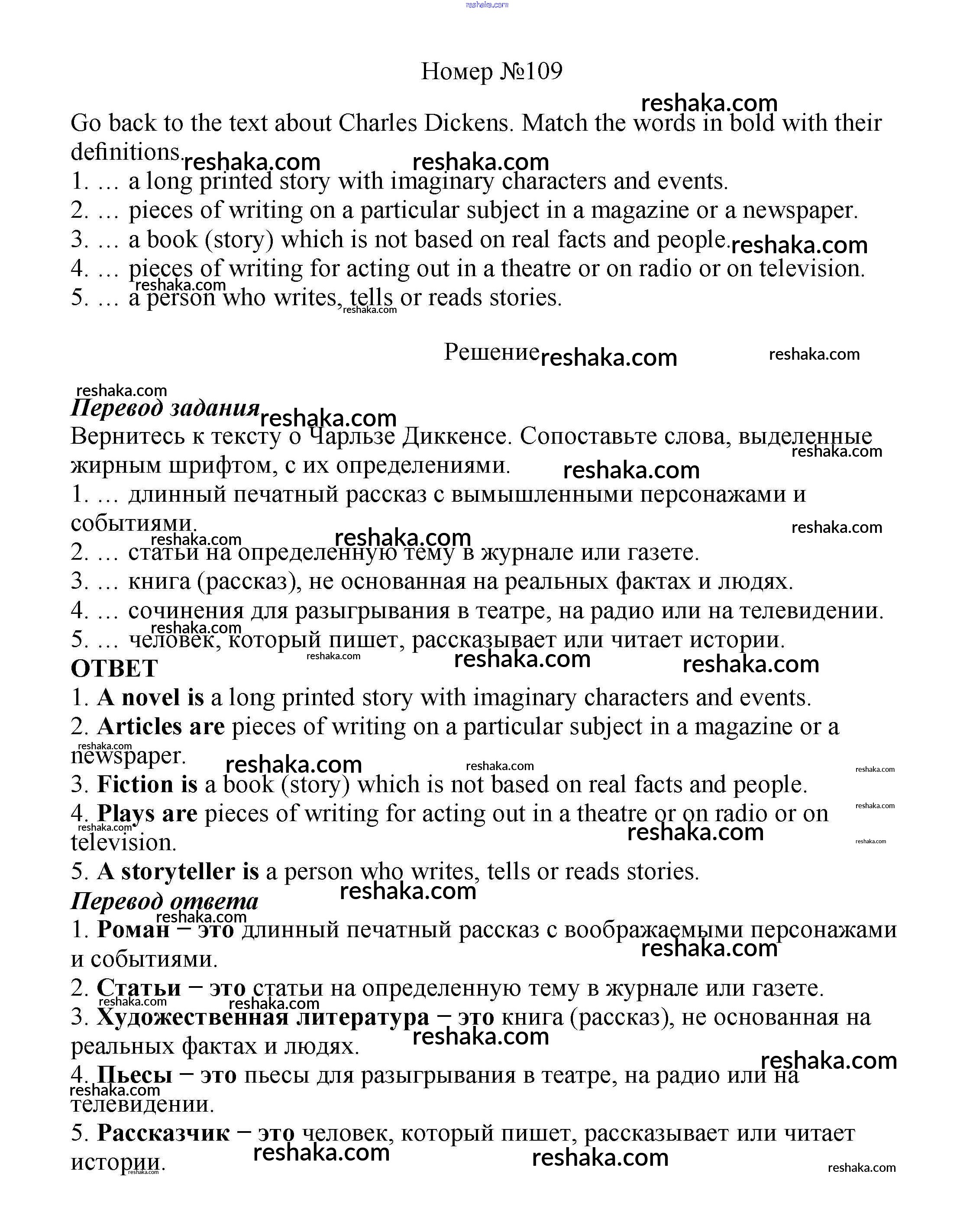
Решебник №1 к учебнику "Дрофа"

unit 3 / section 8 / 109

Решебник №1 к учебнику "Титул"

unit 3 / section 8 / 109

Решебник №2 к учебнику "Дрофа"

unit 3 / section 8 / 109

Решебник №2 к учебнику "Титул"

unit 3 / section 8 / 109

Представляем вам сборники по Английскому языку, с готовыми ответами к Учебнику Биболетова школьной программы для учеников восьмой класса. Это не просто гдз с ответом, а с подсказками, как верно решить Section 8 Unit 3 109. Проверяй домашку с умом и получай высший балл!