Решака - онлайн ответы Физика Перышкин за 8 класс Учебник ФГОС 2014 - 27
Учебник
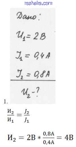
новое издание / упражнение / 27

Решебник 1
новое издание / упражнение / 27

Решебник 2
новое издание / упражнение / 27

Решебник 3
новое издание / упражнение / 27


Решебник 4
новое издание / упражнение / 27


Представляем вам сборники по Физике, с готовыми ответами к Учебнику Перышкин школьной программы для учеников восьмой класса. Это не просто гдз с ответом, а с подсказками, как верно решить Упражнения Новое издание (бело-красный учебник) 27. Проверяй домашку с умом и получай высший балл!