Лого сайта Reshaka.com

Решака - онлайн ответы Физика Перышкин, Лонцова за 7-9 класс Сборник задач ФГОС 2016 - 1544

Решебник

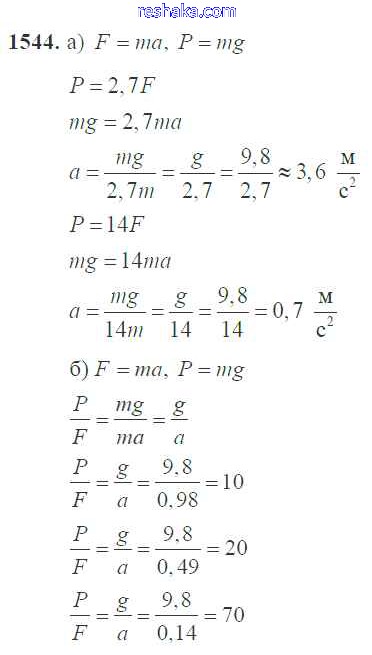
9 класс / Законы взаимодействия и движения тел / 1544

Представляем вам сборники по Физике, с готовыми ответами к Сборнику задач Перышкин школьной программы для учеников седьмой-девятый класса. Это не просто гдз с ответом, а с подсказками, как верно решить Законы взаимодействия и движения тел 9 класс 1544. Проверяй домашку с умом и получай высший балл!