Решака - онлайн ответы Геометрия Ершова, Голобородько за 10 класс Самостоятельные и контрольные работы ФГОС 2014 - 4
Решебник
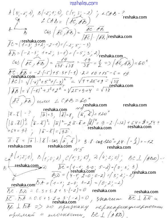
к учебнику Погорелова / самостоятельная работа / ср-20. вариант / 4


Представляем вам сборники по Геометрии, с готовыми ответами к Самостоятельным и контрольным работам Ершова школьной программы для учеников десятый класса. Это не просто гдз с ответом, а с подсказками, как верно решить СР-20. Варианты Самостоятельные работы 4. Проверяй домашку с умом и получай высший балл!