Лого сайта Reshaka.com

Решака - онлайн ответы Геометрия Атанасян, Бутузов за 10-11 класс Учебник Базовый и углубленный уровень ФГОС 2015 - 235

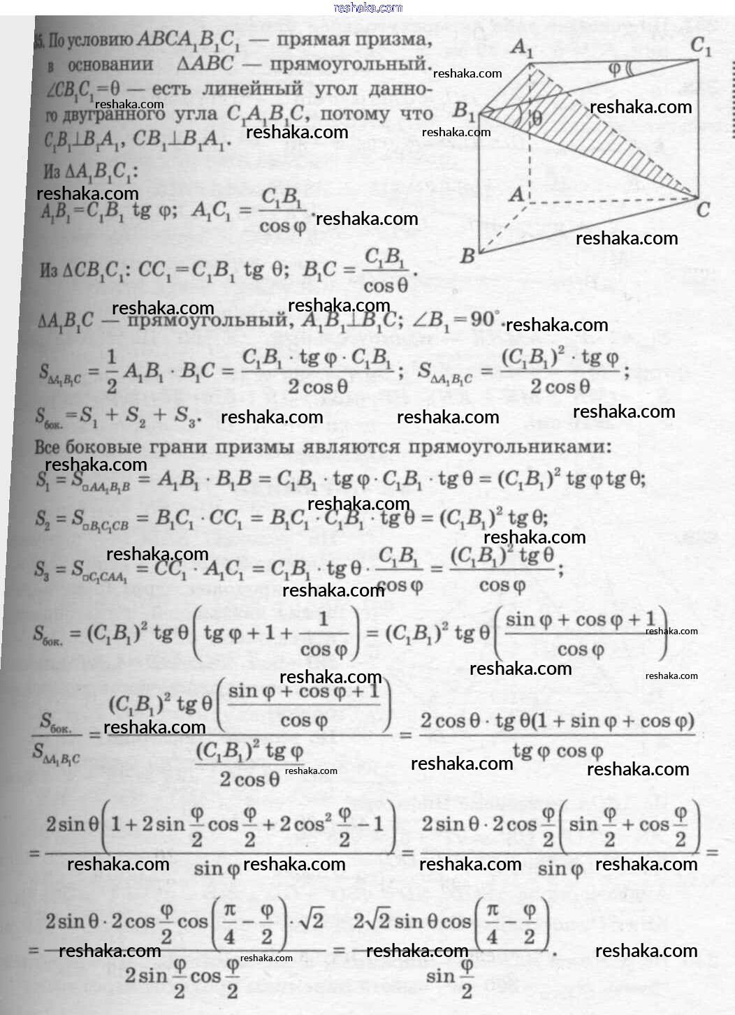
Решебник №2 к учебнику 2015

задача / 235

Решебник к учебнику 2023

задача / 235

Представляем вам сборники по Геометрии, с готовыми ответами к Учебнику Атанасян школьной программы для учеников десятый-одиннадцатый класса. Это не просто гдз с ответом, а с подсказками, как верно решить Задачи 235. Проверяй домашку с умом и получай высший балл!