Лого сайта Reshaka.com

Решака - онлайн ответы Геометрия Атанасян, Бутузов за 10-11 класс Учебник Базовый и углубленный уровень ФГОС 2015 - 579

Решебник №1 к учебнику 2015

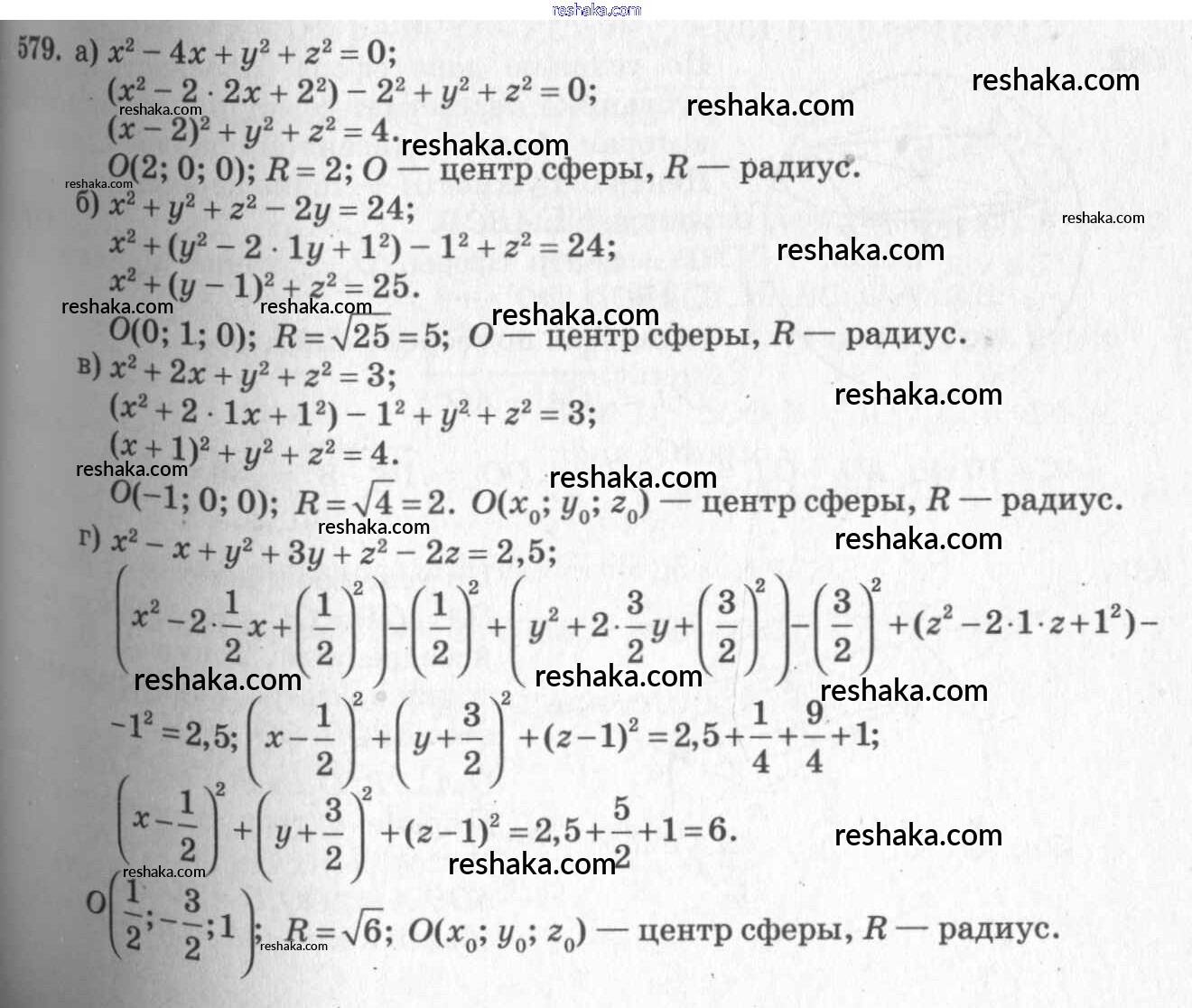
задача / 579

Решебник №2 к учебнику 2015

задача / 579

Решебник к учебнику 2023

задача / 579

Представляем вам сборники по Геометрии, с готовыми ответами к Учебнику Атанасян школьной программы для учеников десятый-одиннадцатый класса. Это не просто гдз с ответом, а с подсказками, как верно решить Задачи 579. Проверяй домашку с умом и получай высший балл!