Лого сайта Reshaka.com

Решака - онлайн ответы Геометрия Ершова, Голобородько за 11 класс Самостоятельные и контрольные работы ФГОС 2004 - А2

Решебник

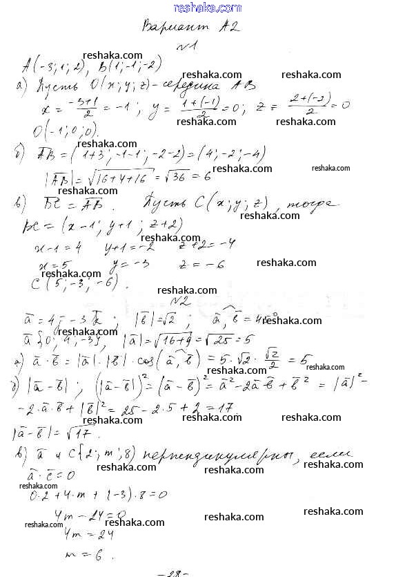
к учебнику Атанасяна 10-11 / контрольная работа / кр-1. вариант / А2

Представляем вам сборники по Геометрии, с готовыми ответами к Самостоятельным и контрольным работам Ершова школьной программы для учеников одиннадцатый класса. Это не просто гдз с ответом, а с подсказками, как верно решить КР-1. Варианты Контрольные работы А2. Проверяй домашку с умом и получай высший балл!