Лого сайта Reshaka.com

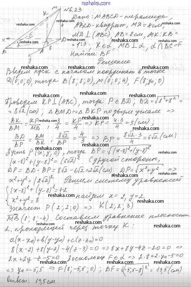
Решака - онлайн ответы Геометрия Мерзляк, Номировский за 11 класс Учебник Углубленный уровень ФГОС 2019 - 6.23

Представляем вам сборники по Геометрии, с готовыми ответами к Учебнику Мерзляк школьной программы для учеников одиннадцатый класса. Это не просто гдз с ответом, а с подсказками, как верно решить §6. Уравнение плоскости 6.23. Проверяй домашку с умом и получай высший балл!