Лого сайта Reshaka.com

Решака - онлайн ответы Геометрия Мерзляк, Номировский за 11 класс Учебник Углубленный уровень ФГОС 2019 - 11.27

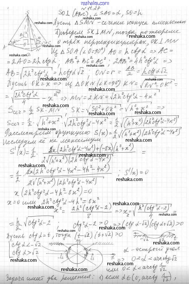
Представляем вам сборники по Геометрии, с готовыми ответами к Учебнику Мерзляк школьной программы для учеников одиннадцатый класса. Это не просто гдз с ответом, а с подсказками, как верно решить §11. Комбинации конуса и пирамиды 11.27. Проверяй домашку с умом и получай высший балл!