Лого сайта Reshaka.com

Решака - онлайн ответы Геометрия Мерзляк, Номировский за 11 класс Учебник Базовый уровень ФГОС 2019 - 12.17

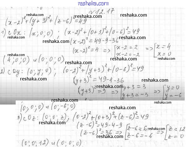
Представляем вам сборники по Геометрии, с готовыми ответами к Учебнику Мерзляк школьной программы для учеников одиннадцатый класса. Это не просто гдз с ответом, а с подсказками, как верно решить §12. Сфера и шар. Уравнение сферы 12.17. Проверяй домашку с умом и получай высший балл!