Лого сайта Reshaka.com

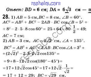
Решака - онлайн ответы Геометрия Мерзляк, Полонский за 9 класс Учебник ФГОС 2016 - 28

Решебник к учебнику 2023

задача / 28

Решебник к учебнику 2016

задача / 28

Представляем вам сборники по Геометрии, с готовыми ответами к Учебнику Мерзляк школьной программы для учеников девятый класса. Это не просто гдз с ответом, а с подсказками, как верно решить Задачи 28. Проверяй домашку с умом и получай высший балл!