Лого сайта Reshaka.com

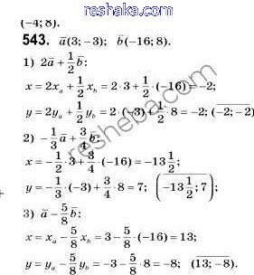
Решака - онлайн ответы Геометрия Мерзляк, Полонский за 9 класс Учебник ФГОС 2016 - 543

Решебник к учебнику 2023

задача / 543

Решебник к учебнику 2016

задача / 543

Представляем вам сборники по Геометрии, с готовыми ответами к Учебнику Мерзляк школьной программы для учеников девятый класса. Это не просто гдз с ответом, а с подсказками, как верно решить Задачи 543. Проверяй домашку с умом и получай высший балл!