Лого сайта Reshaka.com

Решака - онлайн ответы Геометрия Погорелов за 7-9 класс Учебник ФГОС 2014 - 25

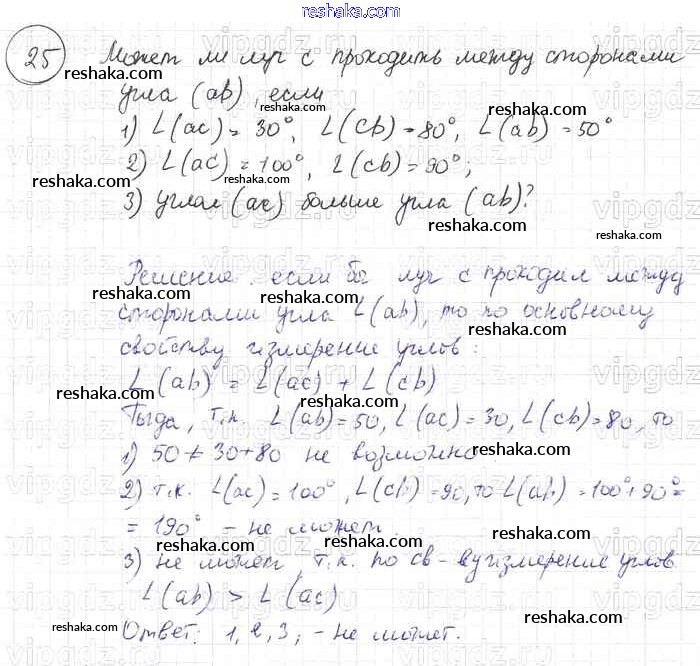
Решебник №1

параграф 1 / 25

Решебник №2

параграф 1 / 25

Решебник №3

параграф 1 / 25

Представляем вам сборники по Геометрии, с готовыми ответами к Учебнику Погорелов школьной программы для учеников седьмой-девятый класса. Это не просто гдз с ответом, а с подсказками, как верно решить §1. Основные свойства простейших геометрических фигур 25. Проверяй домашку с умом и получай высший балл!