Лого сайта Reshaka.com

Решака - онлайн ответы Геометрия Погорелов за 7-9 класс Учебник ФГОС 2014 - 33

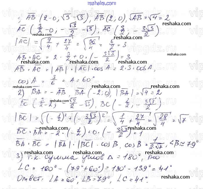
Решебник №1

параграф 10 / 33

Решебник №2

параграф 10 / 33

Решебник №3

параграф 10 / 33

Представляем вам сборники по Геометрии, с готовыми ответами к Учебнику Погорелов школьной программы для учеников седьмой-девятый класса. Это не просто гдз с ответом, а с подсказками, как верно решить §10. Векторы 33. Проверяй домашку с умом и получай высший балл!