Лого сайта Reshaka.com

Решака - онлайн ответы Геометрия Погорелов за 7-9 класс Учебник ФГОС 2014 - 27

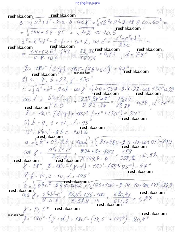
Решебник №1

параграф 12 / 27

Решебник №2

параграф 12 / 27

Решебник №3

параграф 12 / 27

Представляем вам сборники по Геометрии, с готовыми ответами к Учебнику Погорелов школьной программы для учеников седьмой-девятый класса. Это не просто гдз с ответом, а с подсказками, как верно решить §12. Решение треугольников 27. Проверяй домашку с умом и получай высший балл!