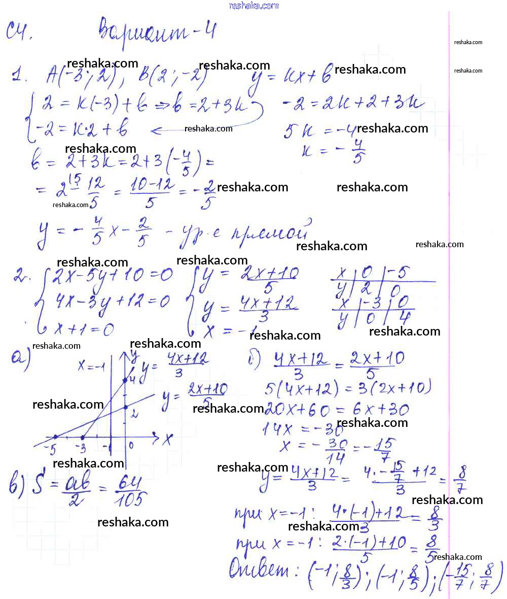
Решака - онлайн ответы Геометрия Журавлев, Малышева за 9 класс Контрольные и самостоятельные работы ФГОС 2016 - 4
Решебник
самостоятельные работы / к учебнику Атанасяна / ср-4. вариант / 4

Представляем вам сборники по Геометрии, с готовыми ответами к Контрольным и самостоятельным работам Журавлев школьной программы для учеников девятый класса. Это не просто гдз с ответом, а с подсказками, как верно решить СР-4. Варианты к учебнику Атанасяна 4. Проверяй домашку с умом и получай высший балл!