Лого сайта Reshaka.com

Решака - онлайн ответы Геометрия Журавлев, Малышева за 9 класс Контрольные и самостоятельные работы ФГОС 2016 - 2

Решебник

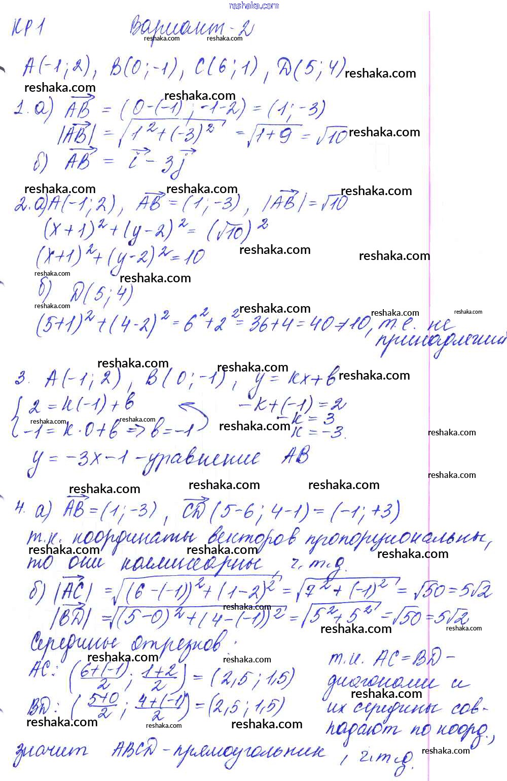
контрольные работы / к учебнику Атанасяна / кр-1. вариант / 2

Представляем вам сборники по Геометрии, с готовыми ответами к Контрольным и самостоятельным работам Журавлев школьной программы для учеников девятый класса. Это не просто гдз с ответом, а с подсказками, как верно решить КР-1. Варианты к учебнику Атанасяна 2. Проверяй домашку с умом и получай высший балл!