Решака - онлайн ответы Геометрия Зив за 9 класс Дидактические материалы ФГОС 2016 - 1
Решебник
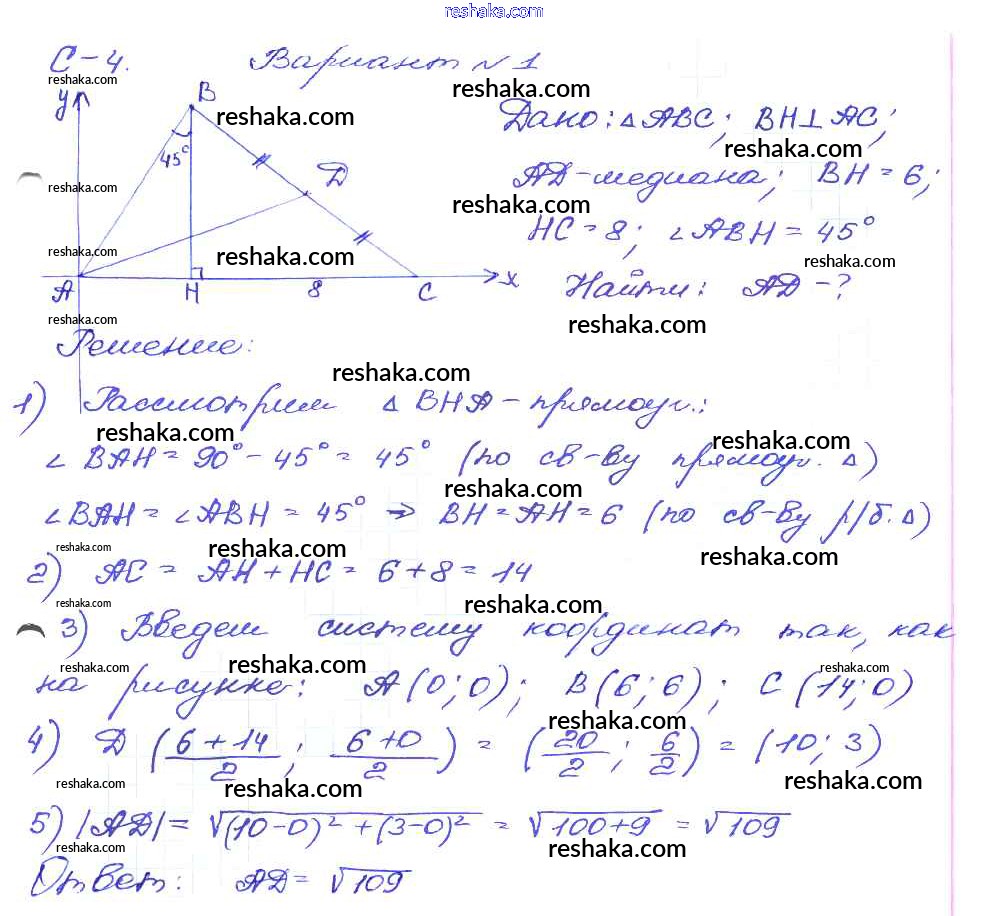
самостоятельные работы / ср-4. вариант / 1

Представляем вам сборники по Геометрии, с готовыми ответами к Дидактическим материалам Зив школьной программы для учеников девятый класса. Это не просто гдз с ответом, а с подсказками, как верно решить СР-4. Варианты Самостоятельные работы 1. Проверяй домашку с умом и получай высший балл!