Лого сайта Reshaka.com

Решака - онлайн ответы Химия Габриелян за 8 класс Учебник ФГОС 2019 - 4

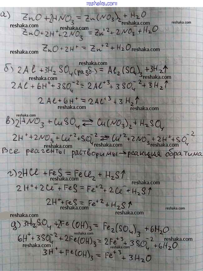
Решебник №1

§39 / 4

Решебник №2

§39 / 4

Решебник №3

§39 / 4

Представляем вам сборники по Химии, с готовыми ответами к Учебнику Габриелян школьной программы для учеников восьмой класса. Это не просто гдз с ответом, а с подсказками, как верно решить §39. Кислоты, их классификация и свойства 4. Проверяй домашку с умом и получай высший балл!