Лого сайта Reshaka.com

Решака - онлайн ответы Химия Габриелян за 8 класс Учебник ФГОС 2019 - 4

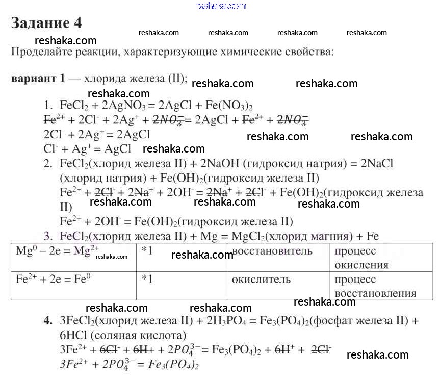
Решебник №1

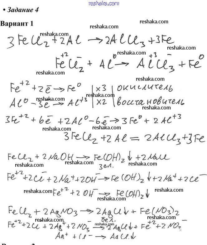
практическая работа / пр-8 / вариант 1 / 4

Решебник №2

практическая работа / пр-8 / вариант 1 / 4

Решебник №3

практическая работа / пр-8 / вариант 1 / 4

Представляем вам сборники по Химии, с готовыми ответами к Учебнику Габриелян школьной программы для учеников восьмой класса. Это не просто гдз с ответом, а с подсказками, как верно решить Вариант 1 Пр-8 4. Проверяй домашку с умом и получай высший балл!