Лого сайта Reshaka.com

Решака - онлайн ответы Химия Габриелян, Остроумов за 8 класс Учебник ФГОС 2021 - 9

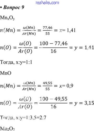
Представляем вам сборники по Химии, с готовыми ответами к Учебнику Габриелян школьной программы для учеников восьмой класса. Это не просто гдз с ответом, а с подсказками, как верно решить §28. Естественные семейства химических элементов. Амфотерность 9. Проверяй домашку с умом и получай высший балл!