Лого сайта Reshaka.com

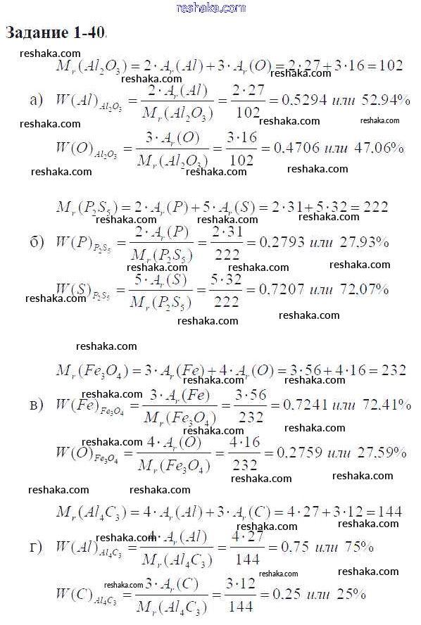
Решака - онлайн ответы Химия Кузнецова, Левкин за 8 класс Задачник ФГОС 2015 - 40

Представляем вам сборники по Химии, с готовыми ответами к Задачнику Кузнецова школьной программы для учеников восьмой класса. Это не просто гдз с ответом, а с подсказками, как верно решить Глава 1 40. Проверяй домашку с умом и получай высший балл!