Лого сайта Reshaka.com

Решака - онлайн ответы Химия Кузнецова, Титова за 9 класс Учебник ФГОС 2019 - 2

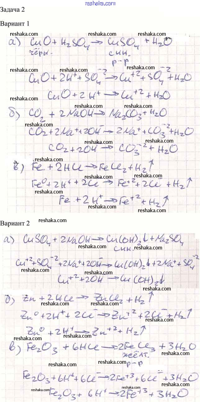
Представляем вам сборники по Химии, с готовыми ответами к Учебнику Кузнецова школьной программы для учеников девятый класса. Это не просто гдз с ответом, а с подсказками, как верно решить Практические работы 2. Проверяй домашку с умом и получай высший балл!