Решака - онлайн ответы Математика Моро, Волкова за 1 класс Рабочая тетрадь ФГОС 2016 - 27
Решебник №1
часть 2 (страница) / 27















Решебник №2
часть 2 (страница) / 27

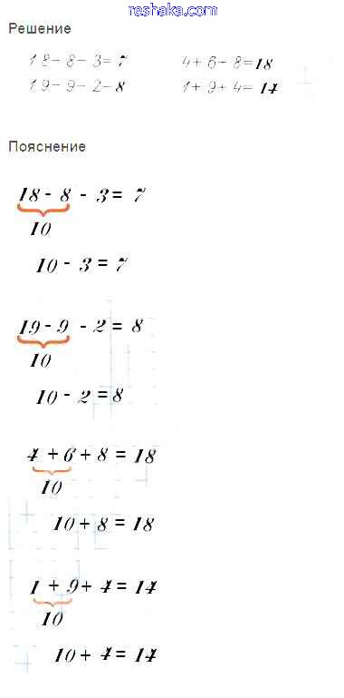
Представляем вам сборники по Математике, с готовыми ответами к Рабочей тетради Моро школьной программы для учеников первый класса. Это не просто гдз с ответом, а с подсказками, как верно решить Часть 2 (Страницы) 27. Проверяй домашку с умом и получай высший балл!