Лого сайта Reshaka.com

Решака - онлайн ответы Математика Дорофеев, Миракова за 3 класс Учебник ФГОС 2015 - 7

Решебник №1

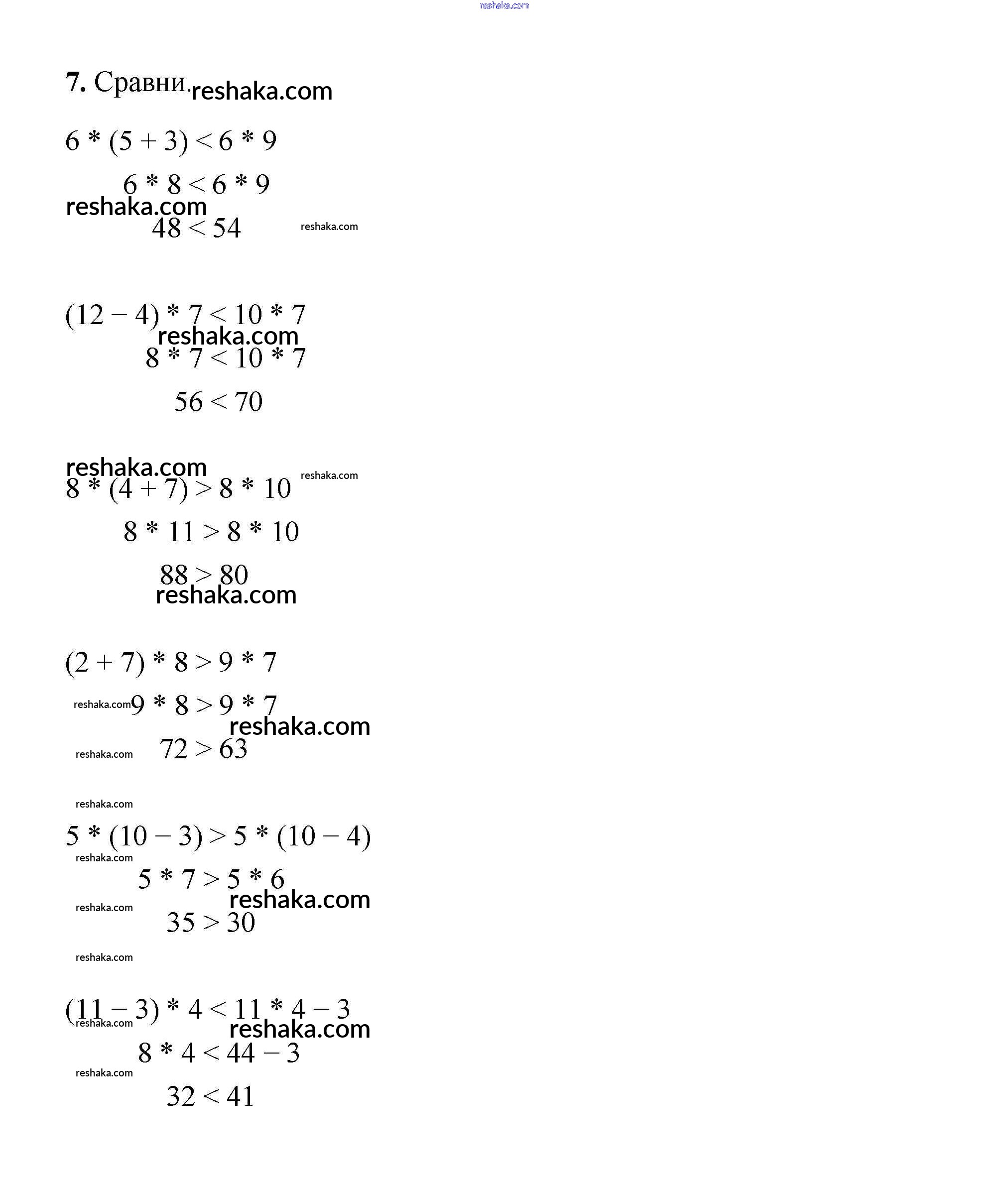
часть 2 / страница 15 / 7

Решебник №2

часть 2 / страница 15 / 7

Решебник №3

часть 2 / страница 15 / 7

Представляем вам сборники по Математике, с готовыми ответами к Учебнику Дорофеев школьной программы для учеников третий класса. Это не просто гдз с ответом, а с подсказками, как верно решить Страница 15 Часть 2 7. Проверяй домашку с умом и получай высший балл!