Решака - онлайн ответы Математика Моро, Бантова за 3 класс Учебник ФГОС 2015 - 37
Решебник 2
часть 1 / страница 104-108 / 37

Решебник 4
часть 1 / страница 104-108 / 37

Решебник 5
часть 1 / страница 104-108 / 37


Решебник 6
часть 1 / страница 104-108 / 37


Решебник 7
часть 1 / страница 104-108 / 37

Решебник 8
часть 1 / страница 104-108 / 37

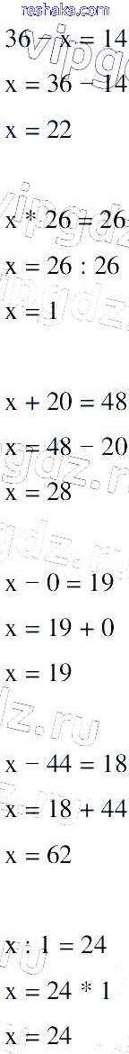
Представляем вам сборники по Математике, с готовыми ответами к Учебнику Моро школьной программы для учеников третий класса. Это не просто гдз с ответом, а с подсказками, как верно решить Страница 104-108 Часть 1 37. Проверяй домашку с умом и получай высший балл!