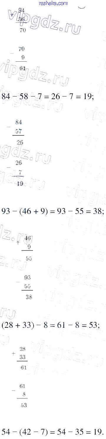
Решака - онлайн ответы Математика Моро, Бантова за 3 класс Учебник ФГОС 2015 - 6
Решебник 2
часть 1 / страница 14-16 / 6

Решебник 3
часть 1 / страница 14-16 / 6

Решебник 4
часть 1 / страница 14-16 / 6

Решебник 5
часть 1 / страница 14-16 / 6

Решебник 6
часть 1 / страница 14-16 / 6




Решебник 7
часть 1 / страница 14-16 / 6

Решебник 8
часть 1 / страница 14-16 / 6

Представляем вам сборники по Математике, с готовыми ответами к Учебнику Моро школьной программы для учеников третий класса. Это не просто гдз с ответом, а с подсказками, как верно решить Страница 14-16 Часть 1 6. Проверяй домашку с умом и получай высший балл!