Решака - онлайн ответы Математика Моро, Бантова за 3 класс Учебник ФГОС 2015 - 25
Решебник 2
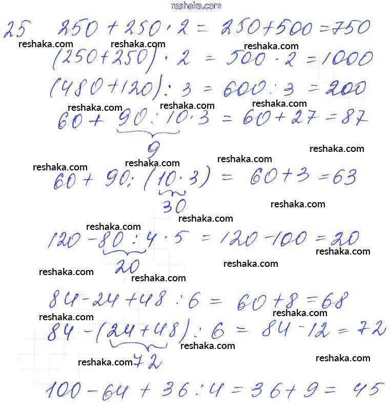
часть 2 / страница 99-102 / 25

Решебник 3
часть 2 / страница 99-102 / 25

Решебник 4
часть 2 / страница 99-102 / 25

Решебник 5
часть 2 / страница 99-102 / 25



Решебник 7
часть 2 / страница 99-102 / 25

Решебник 8
часть 2 / страница 99-102 / 25

Представляем вам сборники по Математике, с готовыми ответами к Учебнику Моро школьной программы для учеников третий класса. Это не просто гдз с ответом, а с подсказками, как верно решить Страница 99-102 Часть 2 25. Проверяй домашку с умом и получай высший балл!