Лого сайта Reshaka.com

Решака - онлайн ответы Математика Башмаков, Нефедова за 4 класс Учебник ФГОС 2012 - 9

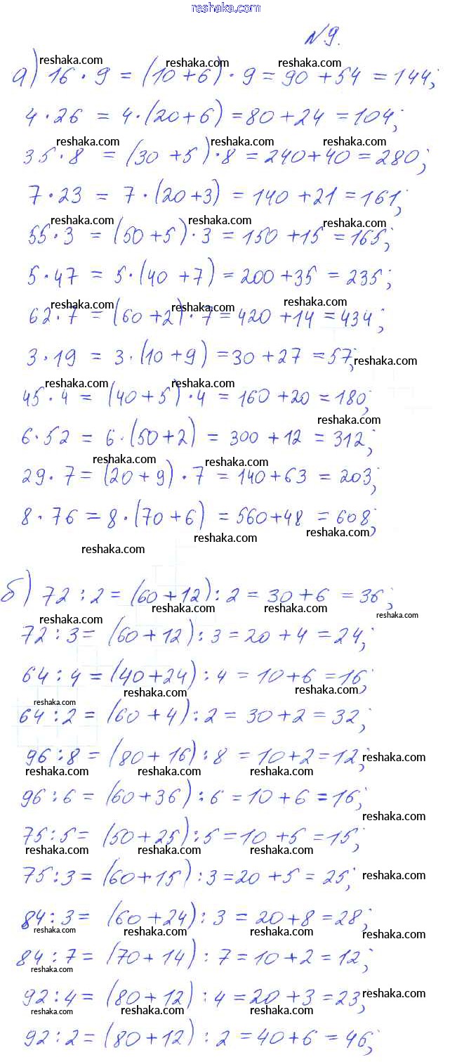
Решебник 1

часть 1 / математический тренажер (стр. 22) / 9

Решебник 2

часть 1 / математический тренажер (стр. 22) / 9

Представляем вам сборники по Математике, с готовыми ответами к Учебнику Башмаков школьной программы для учеников четвертый класса. Это не просто гдз с ответом, а с подсказками, как верно решить Математический тренажер (стр. 22) Часть 1 9. Проверяй домашку с умом и получай высший балл!