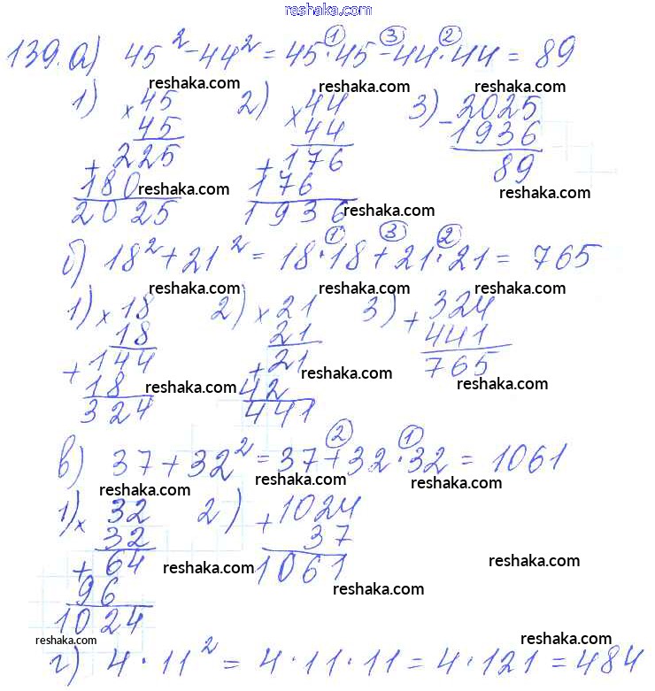
Решака - онлайн ответы Математика Чесноков, Нешков за 5 класс Дидактические материалы ФГОС 2014 - 139
Решебник 1
самостоятельная работа / вариант 4 / 139

Решебник 2
самостоятельная работа / вариант 4 / 139

Представляем вам сборники по Математике, с готовыми ответами к Дидактическим материалам Чесноков школьной программы для учеников пятый класса. Это не просто гдз с ответом, а с подсказками, как верно решить Вариант 4 Самостоятельные работы 139. Проверяй домашку с умом и получай высший балл!