Решака - онлайн ответы Математика Дорофеев, Шарыгин за 5 класс Учебник ФГОС 2015 - 943
Решебник 1
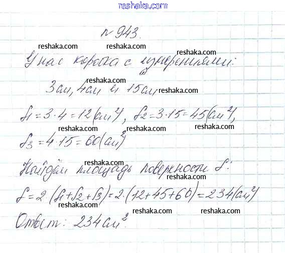
глава 10 / 10.2 / 943

Решебник 2
глава 10 / 10.2 / 943

Решебник 3
глава 10 / 10.2 / 943

Представляем вам сборники по Математике, с готовыми ответами к Учебнику Дорофеев школьной программы для учеников пятый класса. Это не просто гдз с ответом, а с подсказками, как верно решить 10.2. Параллелепипед Глава 10. Многогранники 943. Проверяй домашку с умом и получай высший балл!