Решака - онлайн ответы Математика Дорофеев, Шарыгин за 5 класс Учебник ФГОС 2015 - 170
Решебник 1
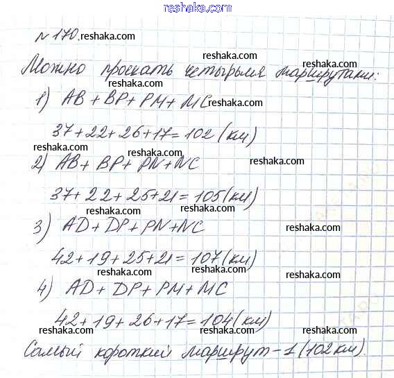
глава 3 / 3.1 / 170

Решебник 2
глава 3 / 3.1 / 170

Решебник 3
глава 3 / 3.1 / 170

Решебник 4
глава 3 / 3.1 / 170

Представляем вам сборники по Математике, с готовыми ответами к Учебнику Дорофеев школьной программы для учеников пятый класса. Это не просто гдз с ответом, а с подсказками, как верно решить 3.1. Сложение и вычитание Глава 3. Действия с натуральными числами 170. Проверяй домашку с умом и получай высший балл!