Решака - онлайн ответы Математика Дорофеев, Шарыгин за 5 класс Учебник ФГОС 2015 - 458
Решебник 1
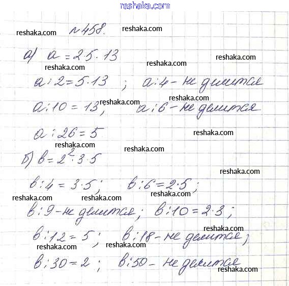
глава 6 / 6.2 / 458

Решебник 2
глава 6 / 6.2 / 458

Решебник 3
глава 6 / 6.2 / 458

Решебник 4
глава 6 / 6.2 / 458

Представляем вам сборники по Математике, с готовыми ответами к Учебнику Дорофеев школьной программы для учеников пятый класса. Это не просто гдз с ответом, а с подсказками, как верно решить 6.2. Простые и составные Глава 6. Делимость чисел 458. Проверяй домашку с умом и получай высший балл!