Лого сайта Reshaka.com

Решака - онлайн ответы Математика Дорофеев, Шарыгин за 5 класс Учебник ФГОС 2015 - 585

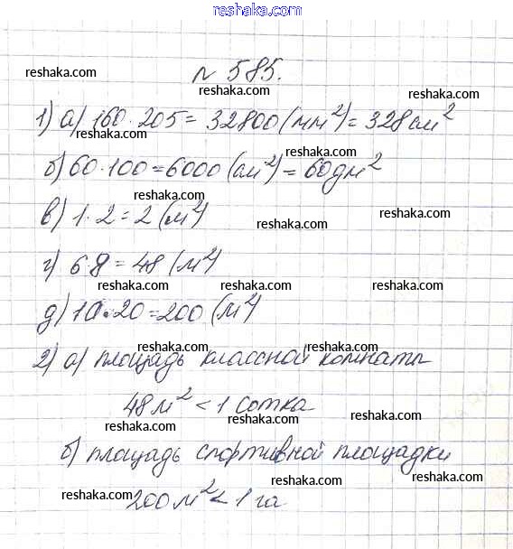
Решебник 1

глава 7 / 7.4 / 585

Решебник 2

глава 7 / 7.4 / 585

Решебник 3

глава 7 / 7.4 / 585

Решебник 4

глава 7 / 7.4 / 585

Представляем вам сборники по Математике, с готовыми ответами к Учебнику Дорофеев школьной программы для учеников пятый класса. Это не просто гдз с ответом, а с подсказками, как верно решить 7.4. Площадь прямоугольника Глава 7. Треугольники и четырехугольники 585. Проверяй домашку с умом и получай высший балл!