Лого сайта Reshaka.com

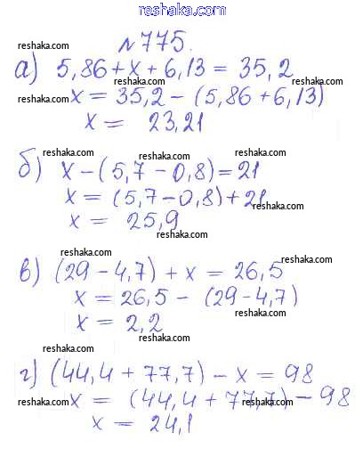
Решака - онлайн ответы Математика Гамбарин, Зубарева за 5 класс Сборник задач и упражнений ФГОС 2011 - 775

Представляем вам сборники по Математике, с готовыми ответами к Сборнику задач и упражнений Гамбарин школьной программы для учеников пятый класса. Это не просто гдз с ответом, а с подсказками, как верно решить Задачи 775. Проверяй домашку с умом и получай высший балл!