Лого сайта Reshaka.com

Решака - онлайн ответы Математика Мерзляк, Полонский за 5 класс Учебник ФГОС 2016 - 545

Решебник 1

глава 3 / §19 / 545

Решебник 2

глава 3 / §19 / 545

Решебник 3

глава 3 / §19 / 545

Решебник 4

глава 3 / §19 / 545

Решебник 5

глава 3 / §19 / 545

Решебник 6

глава 3 / §19 / 545

Решебник 7

глава 3 / §19 / 545

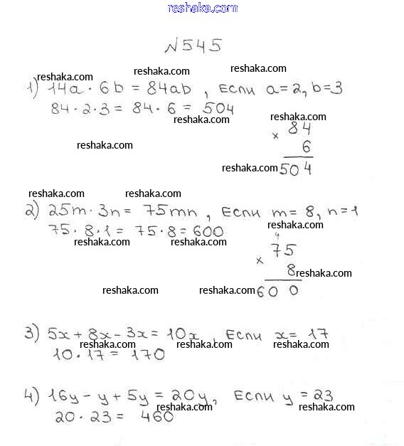
Представляем вам сборники по Математике, с готовыми ответами к Учебнику Мерзляк школьной программы для учеников пятый класса. Это не просто гдз с ответом, а с подсказками, как верно решить §19. Деление с остатком Глава 3. Умножение и деление натуральных чисел 545. Проверяй домашку с умом и получай высший балл!